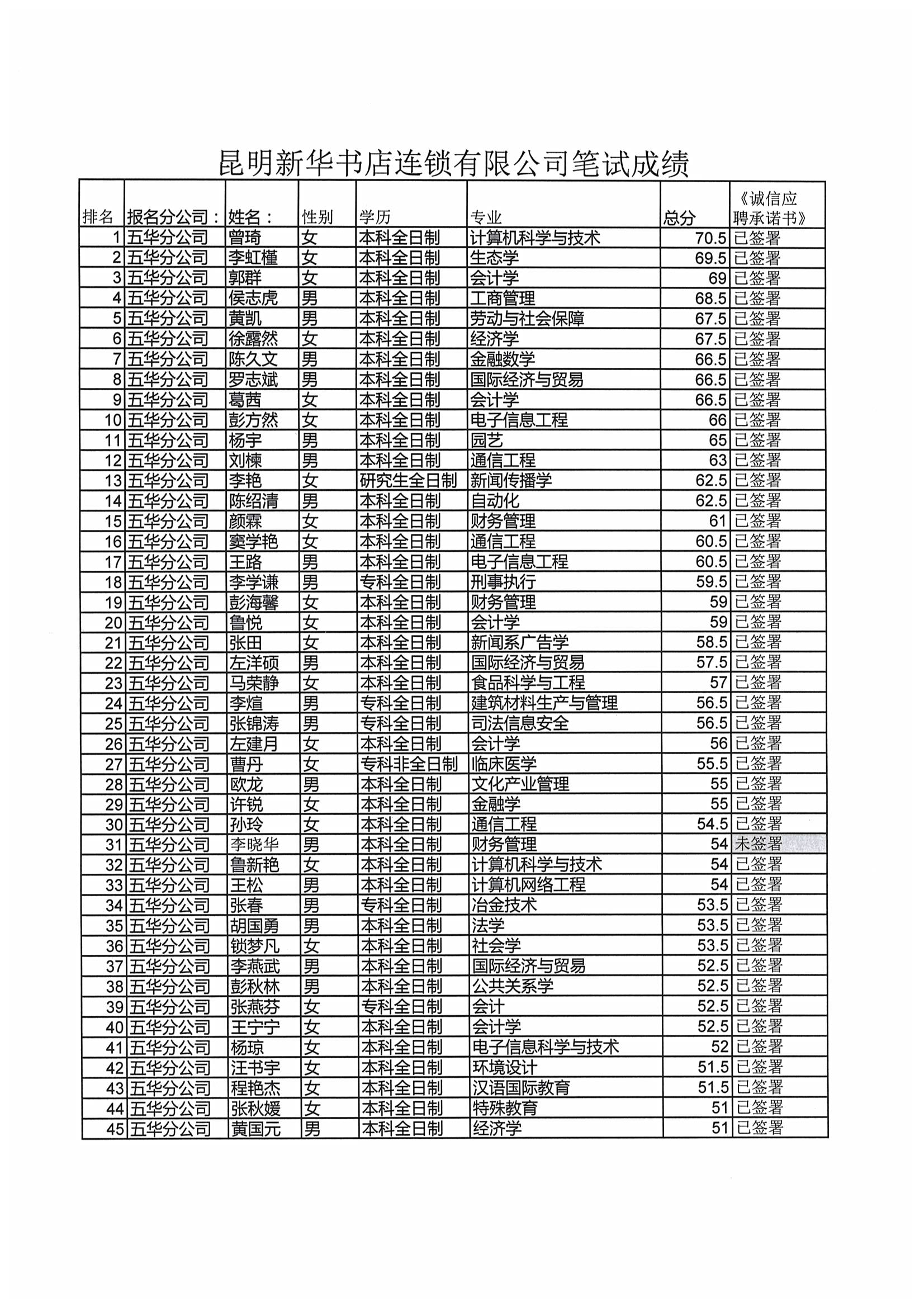
昆明新华书店连锁有限公司公开招聘笔试成绩公示








信息来源:http://www.kmxhsd.com/publicity/show-499.html
|
背景:
阅读全文
2019年昆明新华书店连锁有限公司招聘笔试成绩公示
昆明新华书店连锁有限公司公开招聘笔试成绩公示
信息来源:http://www.kmxhsd.com/publicity/show-499.html
相关信息链接
大型企业招聘
热门培训课程
|
热门培训课程
本周热门阅读
网友点赞排行
热门评论
|