背景:
阅读全文

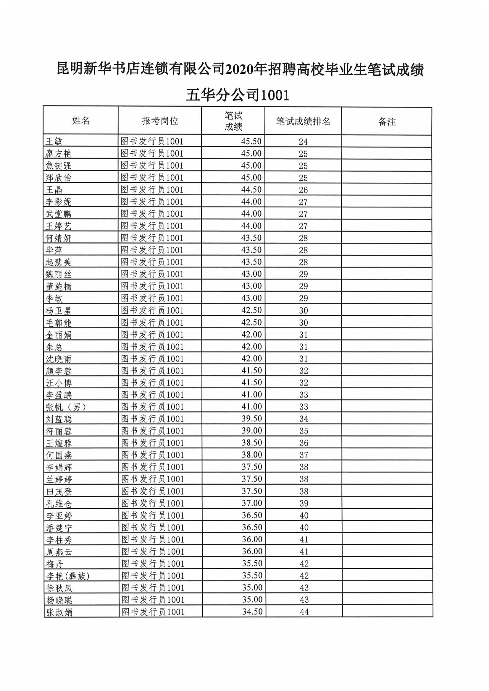
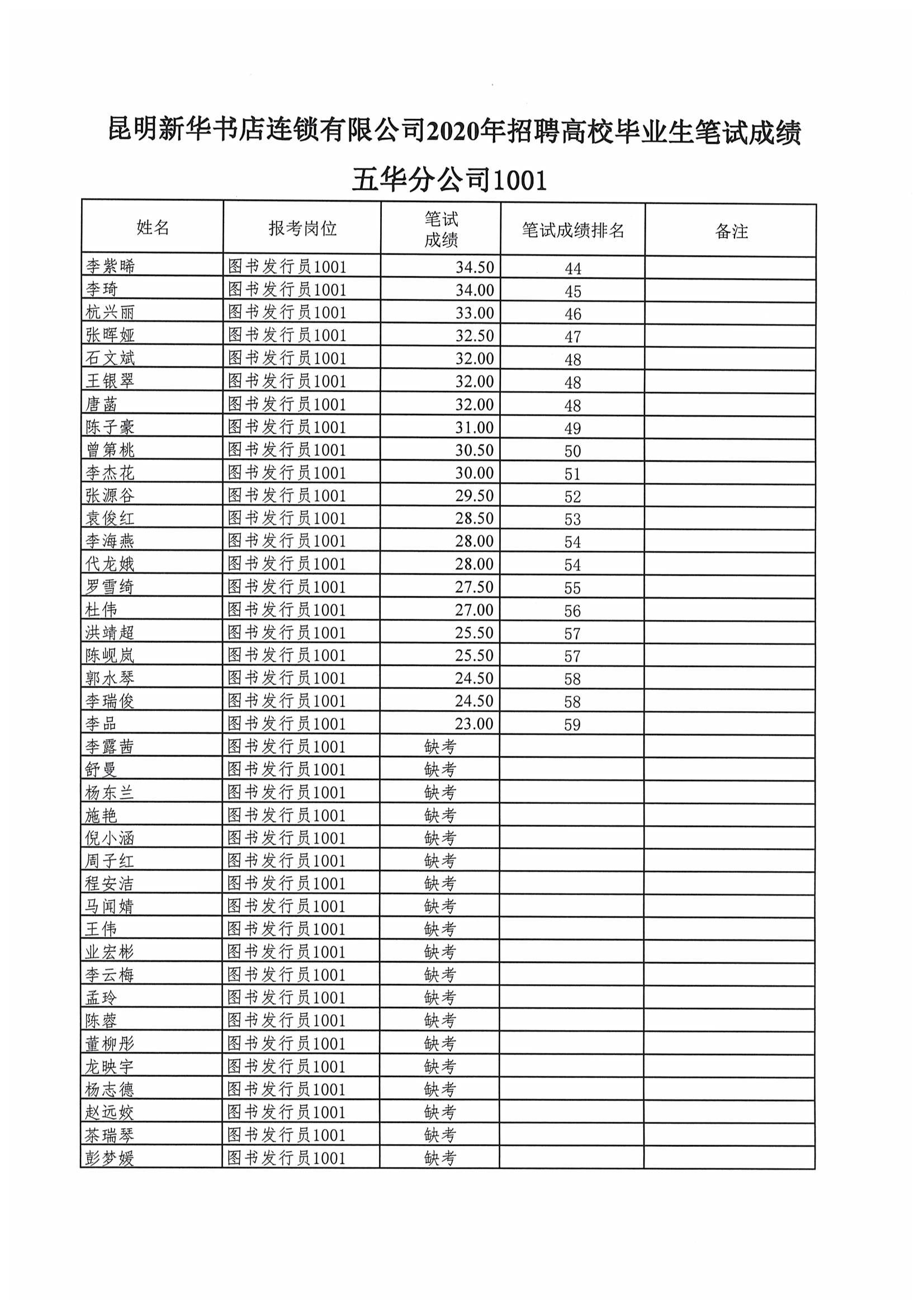
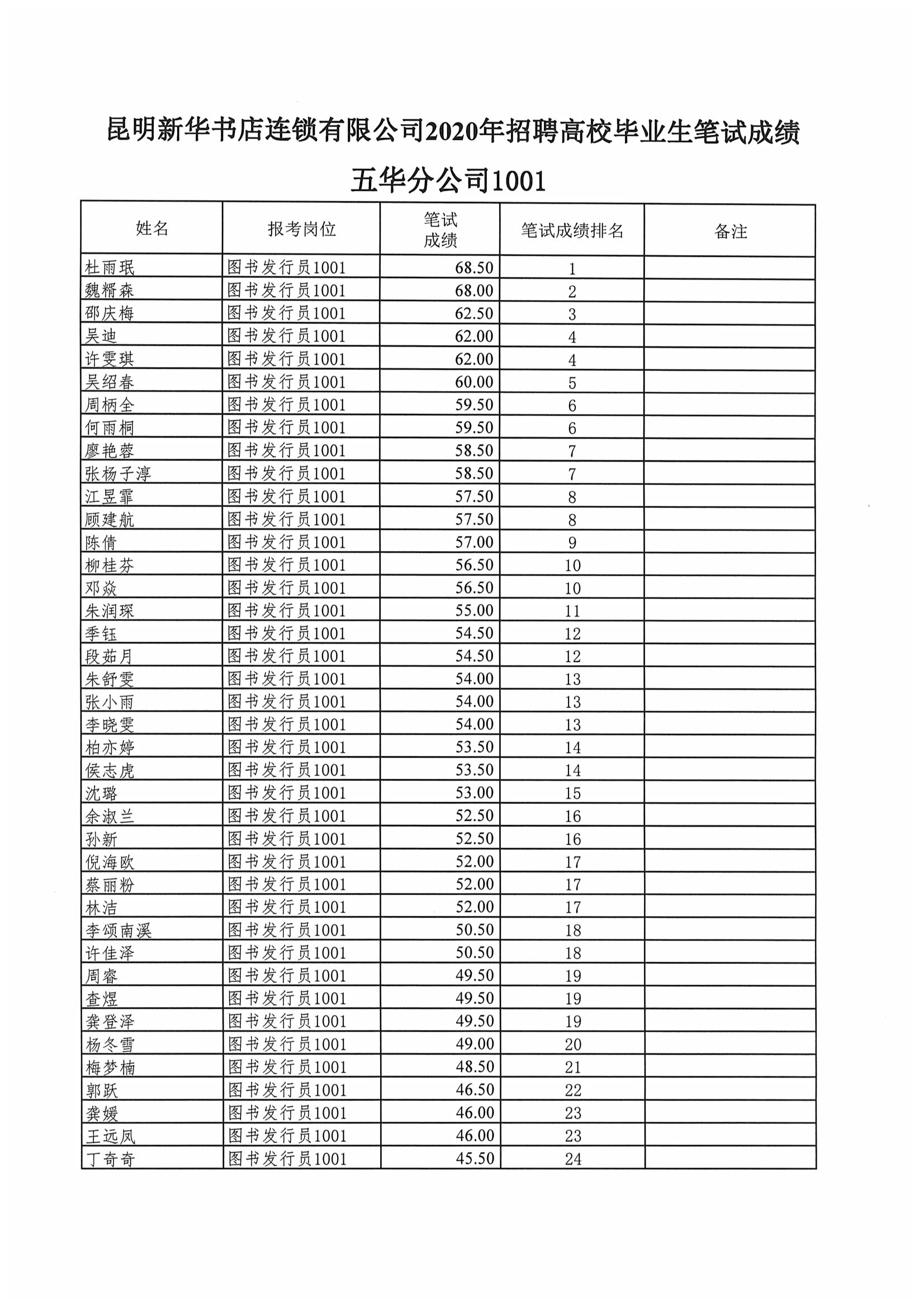
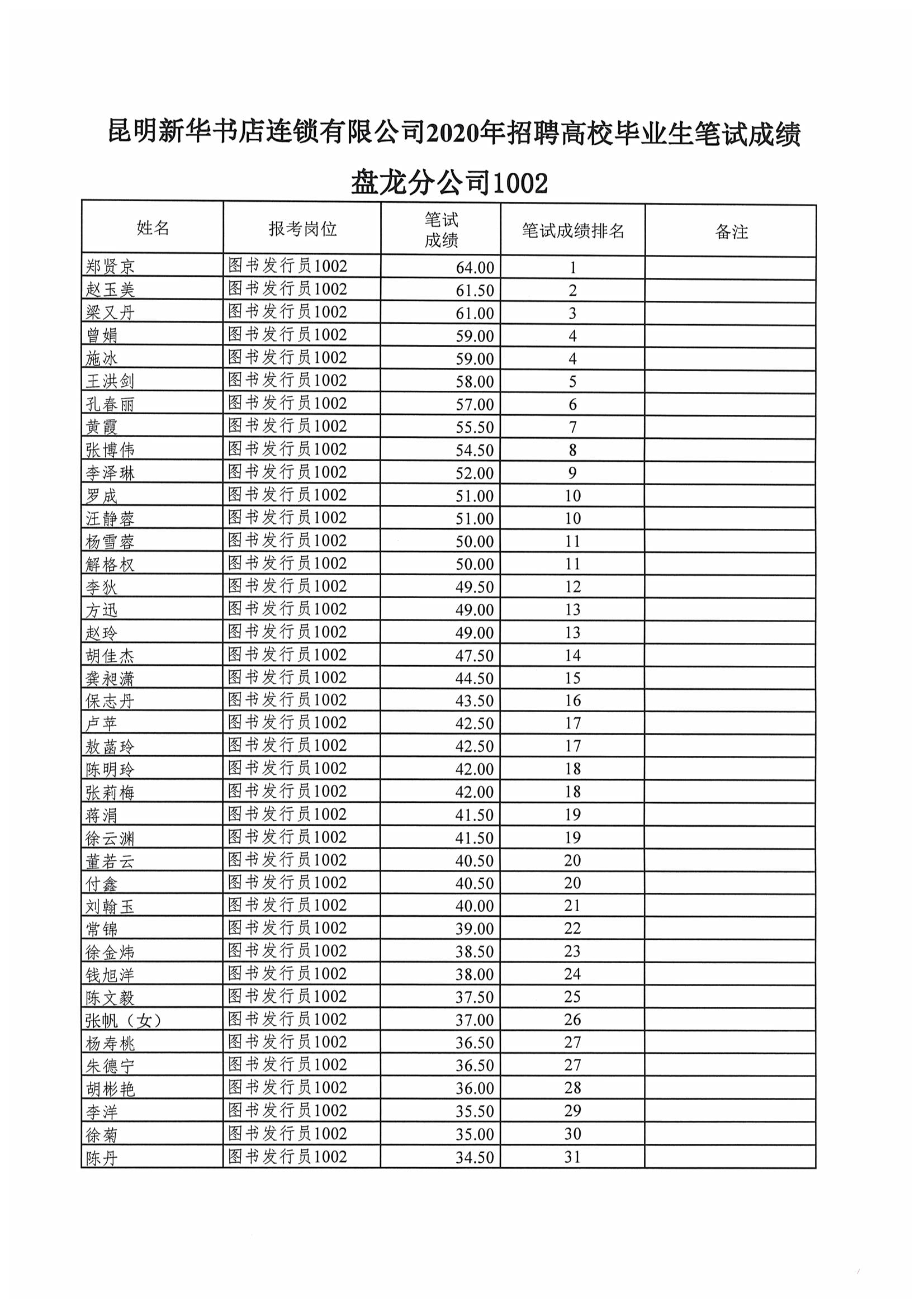
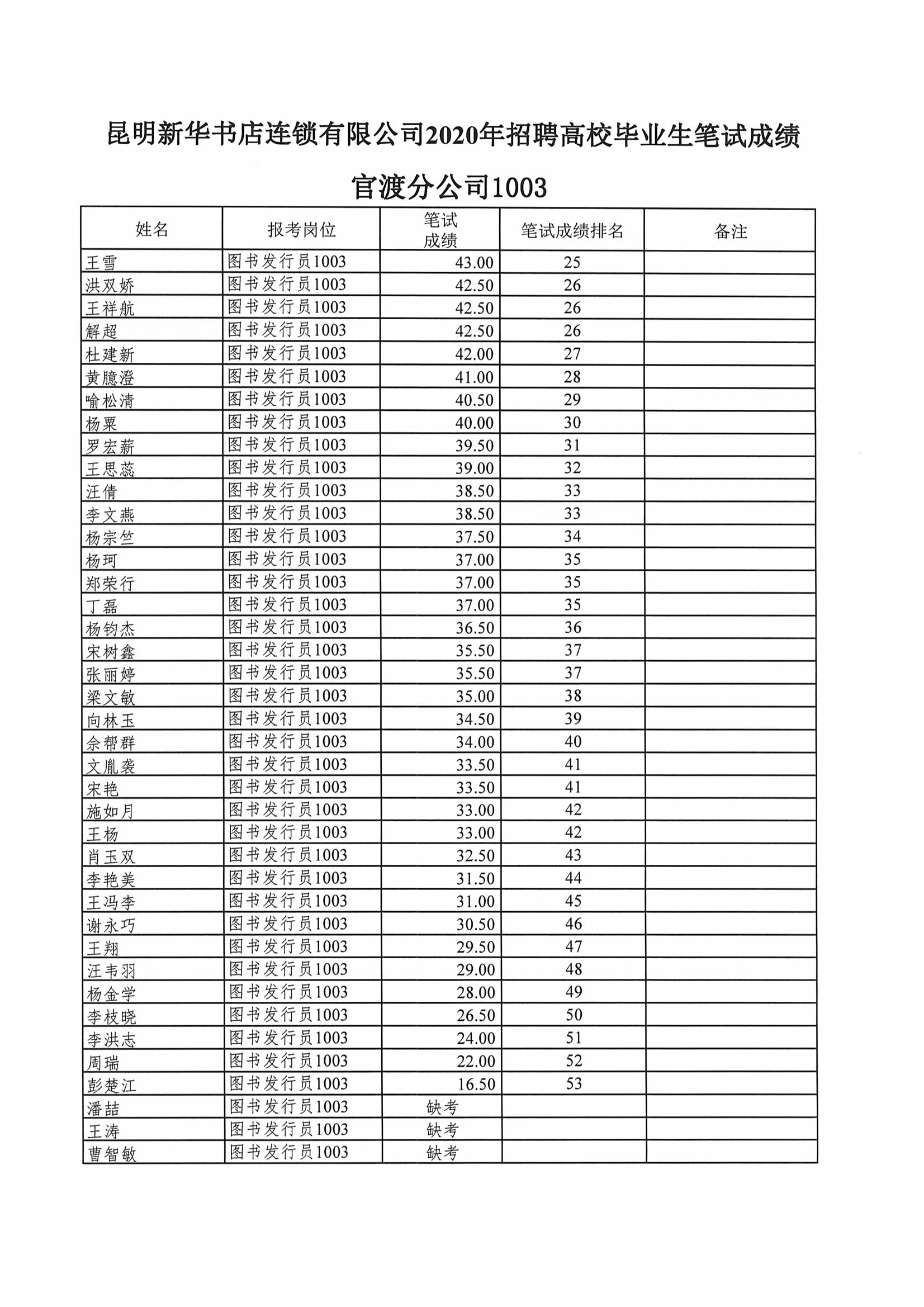
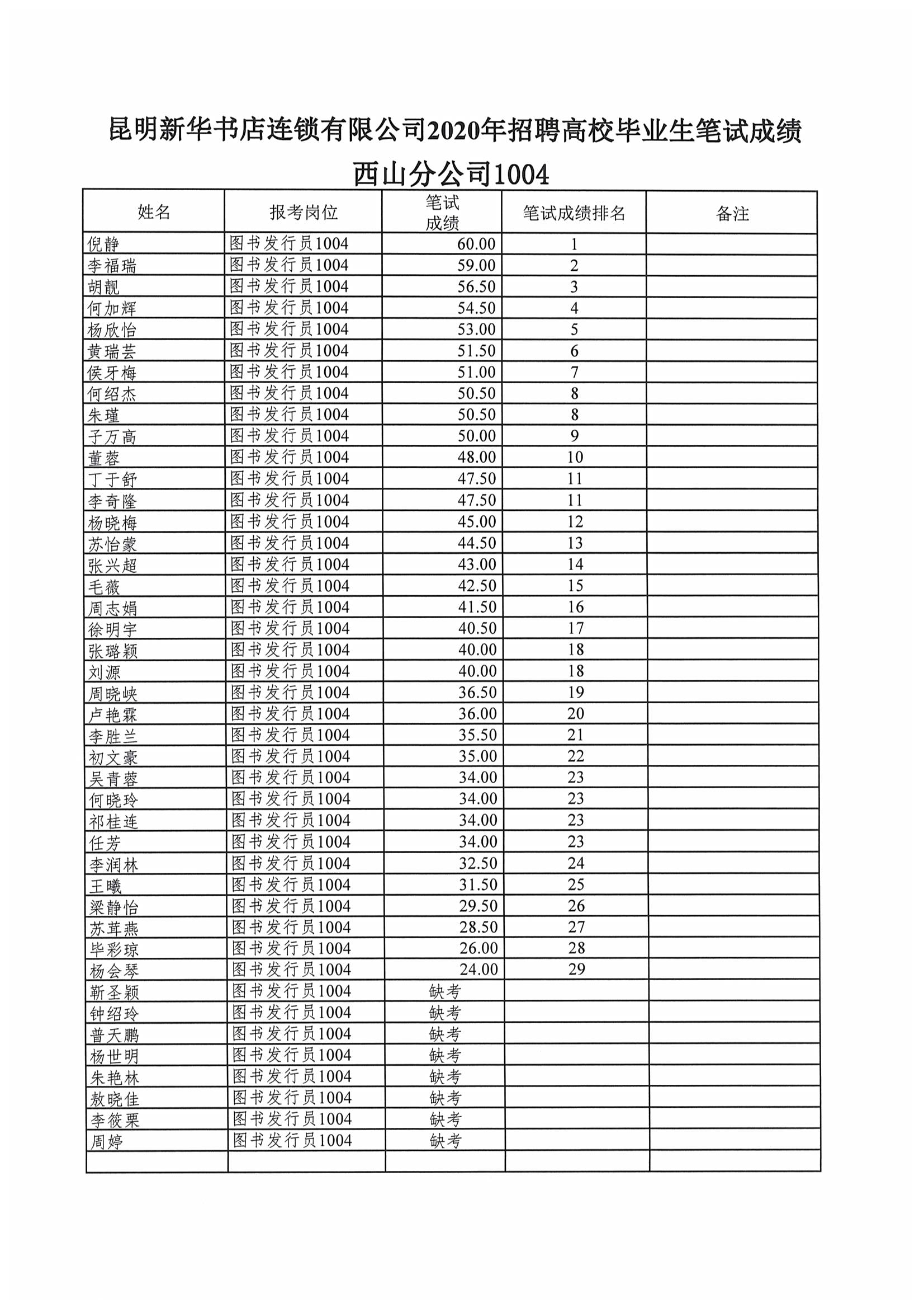
昆明新华书店连锁有限公司2020年招聘高校毕业生笔试成绩公示

[日期:2020-07-30] 来源:昆明新华书店连锁有限公司网站

昆明新华书店连锁有限公司2020年招聘高校毕业生笔试成绩公示

来源:http://www.kmxhsd.com/publicity/show-507.html

我要咨询或发布信息 | 编辑:yangying | 阅读:
热门培训课程
热门培训课程
热门评论